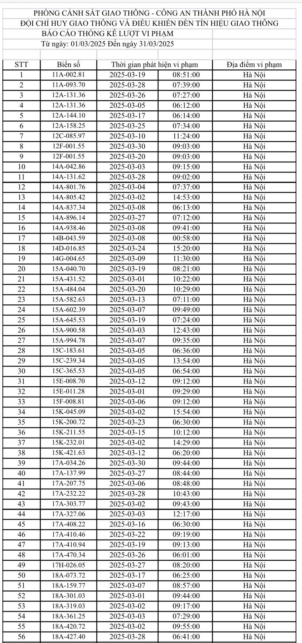
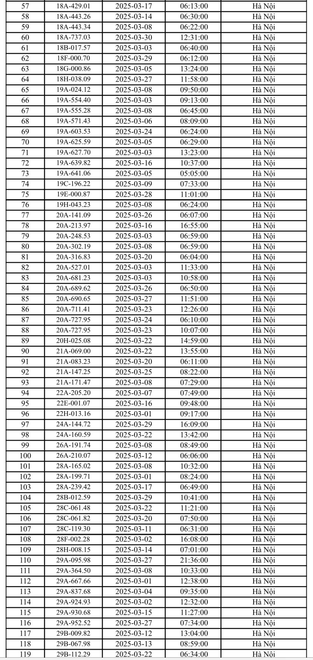
Ngày 9/4, Phòng Cảnh sát giao thông Công an TP. Hà Nội công bố danh sách 571 phương tiện vi phạm hành chính về trật tự, an toàn giao thông đường bộ từ ngày 1/3/2025 đến ngày 31/3/2025 được ghi nhận qua camera giám sát trên các tuyến đường tại Thủ đô với các lỗi chủ yếu gồm: Ngược chiều, sai làn, quá tốc độ, đường cấm, dừng đỗ sai quy định, không tuân thủ đèn tín hiệu giao thông...
Theo đó, tài xế có thể tra cứu thông tin qua Cổng thông tin điện tử của Cục Cảnh sát giao thông bằng cách truy cập vào địa chỉ https://www.csgt.vn rồi điền đầy đủ biển kiểm soát phương tiện vào phần "Tra cứu phương tiện vi phạm giao thông qua hình ảnh". Lúc này, tài xế sẽ được cung cấp đầy đủ các chi tiết liên quan đến vi phạm bao gồm: Biển số xe, thời gian và địa điểm vi phạm cùng với thông tin về cơ quan đã ghi nhận vi phạm.
 |
| Các địa điểm tiếp nhận, giải quyết kết quả thu thập được bằng phương tiện, thiết bị nghiệp vụ (phạt nguội) trên địa bàn Thủ đô. Ảnh: Phòng Cảnh sát giao thông Công an TP Hà Nội |
Ngoài ra, chủ sở hữu hoặc người điều khiển xe có thể liên hệ trực tiếp với cơ quan công an thông qua địa chỉ hoặc số điện thoại được cung cấp để xử lý các vấn đề liên quan đến vi phạm.
Các tài xế cũng có thể tra cứu thông báo phạt nguội thông qua Cổng thông tin điện tử của Cục Đăng kiểm Việt Nam (http://www.vr.org.vn/). Tài xế sẽ tra được thông báo phạt nguội qua mục tra cứu dữ liệu "Phương tiện xe cơ giới dành cho chủ sở hữu xe".
Sau khi điền đầy đủ thông tin, nếu xuất hiện khung màu đen chứa thông tin về việc xử lý vi phạm thì có nghĩa là chủ phương tiện hoặc người điều khiển chưa hoàn tất nghĩa vụ đóng phạt nguội, sẽ bị từ chối đăng kiểm.
Trước đó, để kịp thời hỗ trợ người dân, doanh nghiệp khi giải quyết, xử lý vi phạm hành chính lĩnh vực trật tự, an toàn giao thông đường bộ và hạn chế việc người dân phải đi lại nhiều lần tìm, liên hệ cơ quan Cảnh sát giao thông để giải quyết các vi phạm theo hình thức gửi thông báo “phạt nguội”, Cục Cảnh sát giao thông thành lập kênh giao tiếp, trao đổi thông tin theo địa chỉ hòm thư: Phonghdttksgtdb.csgt@gmail.com. Đồng thời, bố trí cán bộ trực tiếp nhận, hỗ trợ, tháo gỡ những khó khăn, vướng mắc trong quá trình thực hiện.
Danh sách phương tiện vi phạm hành chính về trật tự, an toàn giao thông đường bộ trong tháng 3/2025 do Phòng Cảnh sát giao thông Công an TP Hà Nội công bố: